2環状11放射道路の整備を進めるが市内で多くの渋滞が発生
国と県とともに「熊本都市道路ネットワーク検討会」を立ち上げ
――市で管理している道路の現状と整備事業について伺います。管理路線数と延長は
藤岡 国道5路線、県道50路線、市道12,665路線の合計12,720路線、延長3,779.5kmを管理しています(2019年4月1日現在)。
――現状での課題は。市内を運転しましたが、朝と夕方の渋滞が激しいと感じました
藤岡 熊本市は自動車の平均旅行速度と渋滞箇所数が全国の政令都市(3大都市圏を除く)でワースト1になっています。市では、2環状11放射道路の整備を国とともに進めてきましたが、環状道路が繋がっていないことなどがネックとなり市内で多くの渋滞が発生しています。また、幹線道路にはクランクが多く、速度が落ちるとの意見もあります。熊本地震の際にも激しい渋滞が発生しています。


熊本都市圏の平均旅行速度(左)と渋滞箇所数(右)および全国政令都市との比較

2環状11放射道路
このような熊本市を中心とした道路交通の課題解消に向けて幅広い検討を行うために、国と県とともに産官民で構成される「熊本都市道路ネットワーク検討会」を昨年6月27日に立ち上げました。道路整備だけでなく、公共交通を含めて短期、中期、長期のビジョンを検討していきます。これまでに3回の検討会を開催し、昨年8月にはシンポジウムを行いました。シンポジウムでは、熊本北高校の生徒も自ら情報収集して、「未知の道づくりを考える~未来の熊本~」というテーマで発表を行っています。
熊本西環状道路 延長12kmのうち約4kmは開通
花園IC~池上IC(仮称)間の4.6kmの整備が進む
――整備中の路線は
藤岡 熊本西環状道路(一般県道砂原四方寄線)があります。同道路は、熊本都市圏における「2環状11放射道路網計画」の外環状を形成する熊本環状道路(延長約30km)の西側部分を構成する延長12kmの地域高規格道路です。北側は下硯川ICで国道3号植木バイパスと接続し、南側は砂原IC(仮称)で県道51号熊本港線と接続します。
なお、熊本環状道路の東側部分は主に国道3号熊本北バイパスと国道57号熊本東バイパスとして国が重点的に整備を進めて、一部を除き完成しています。
――整備目的は
藤岡 市を南北に貫く国道3号は市中心部の通過交通をほぼ占めていて、渋滞が激しくなっています。それを分散させることにより、慢性的な交通混雑の緩和を図るとともに、熊本天草幹線道路や九州縦貫道、計画中の有明海沿岸道路と連結することで、将来的に広域的ネットワークに寄与すると考えています。さらに、北側からの熊本港や熊本駅へのアクセス性向上、災害発生時の代替路としても期待しています。
――現在の整備状況を教えてください
藤岡 3工区に分けて整備を進めています。北側の花園工区(下硯川IC~花園IC、延長約4km)は2017年3月に開通しました。現在は、池上工区(花園IC~池上IC(仮称)、延長4.6km)の整備を進めており、南側の砂原工区(池上IC(仮称)~砂原IC(仮称)、延長約3km)は調査区間となっています。
池上工区では、池上IC(仮称)と都市計画道路春日池上線をつなぐ池上インター線(延長約1km)の整備もあわせて進めています。
――池上工区の事業進捗率と供用予定は
藤岡 2019年末時点で59%(事業費ベース)となっており、2025年度の供用を目指しています。
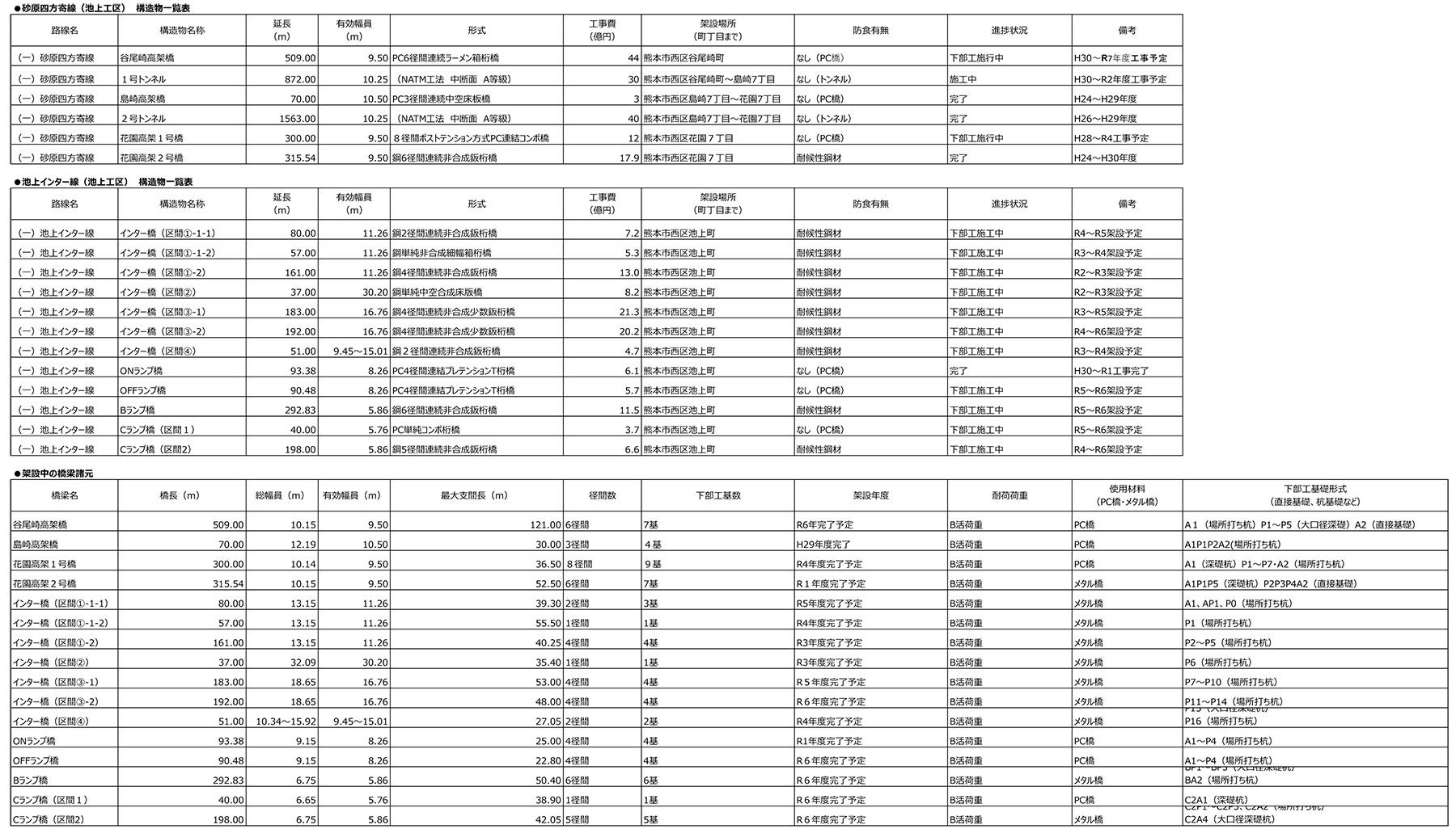
池上工区では橋梁4橋、トンネル2本を施工
橋長509mの谷尾崎高架橋は下部工を施工中
――構造物数と構造物比率は
藤岡 本線は橋梁4橋、トンネル2本で、池上IC(仮称)側から、谷尾崎高架橋、1号トンネル、島崎高架橋、2号トンネル、花園高架1号橋、同2号橋となっています。構造物比率は79%です。
――谷尾崎高架橋は
藤岡 橋長が509m、有効幅員9.5mのPC6径間連続ラーメン箱桁橋で、現在、下部工7基のうち、A2橋台、P3・P4橋脚を施工中です。基礎はA1が場所打ち杭、P1~P5が大口径深礎、A2が直接基礎で、地盤的な問題はとくに発生していません。
――上部工の予定は
藤岡 設計は完了していますが、発注はまだ先になります。
谷尾崎高架橋 P4橋脚の施工(左・中央)/P4橋脚からP3橋脚を望む(右)
――1号トンネルは
藤岡 延長872mのトンネルで、NATM工法で掘削しています。2019年8月に池上IC(仮称)側から掘削を開始して、現在、約100mの掘削が完了しています。
――掘削にあたっての課題はありますか
藤岡 当初想定していた土質よりも脆い層が一部出てきて、その変更が出ていることと、若干の湧水がありますが、掘削で特段問題は発生していません。
――貫通予定は
藤岡 2020年度の予定です。
――島崎高架橋は
藤岡 橋長70m、有効幅員10.5mのPC3径間連続中空床版橋です。桁架設は2017年度に完了し、舗装と設備工が残っています。
――2号トンネルは
藤岡 延長1,563mのトンネルで、NATM工法で掘削して、2018年1月に竣工しました。現在、舗装と電気・通信設備工等が未完了です。
2号トンネル 池上IC(仮称)側坑口(左)と花園IC側坑口(右)
――花園高架1号橋は
藤岡 橋長300m、有効幅員9.5mの8径間ポストテンション方式PC連結コンポ橋で、2022年度に完成予定となっています。
――施工状況は
藤岡 下部工9基のうち7基が完成して、現在はP2、P3橋脚を施工しています。A1が深礎杭、残りが場所打ち杭です。堅い地質の地山で、基礎工でもとくに問題はありませんでした。ちなみに、この辺の山の岩が熊本城の石垣に使用されています。
――上部工については
藤岡 発注未定となっています。
――花園高架2号橋は
藤岡 橋長315m、有効幅員9.5mの鋼6径間連続非合成鈑桁橋で、舗装工まで完了しています。上部工では耐候性鋼材を採用しました。
――池上インター線については
藤岡 一部上部工を施工していますが、下部工を施工中です。
――架替えを行っている橋梁がありましたら教えてください
藤岡 長寿命化修繕計画で検討しているものはありますが、事業中の橋梁はありません。




























