平成16年度以降、改訂されていないのは異常な事態
支承便覧改訂の進捗状況を高橋良和教授に聞く

京都大学大学院工学研究科
社会基盤工学専攻 構造材料学分野
教授
高橋 良和 氏
日本道路協会が進める支承便覧の改訂が大詰めを迎えている。平成16年以来の改訂となる今回は、道路橋示方書の変化や、16年以降に起きた各種地震の知見も踏まえてどのようなものになるのか、中心的な役割を担っている高橋良和京都大学大学院教授に、個人的な思いも含めて聞いた。(井手迫瑞樹)
コントロールできない様々な事象
東日本大震災、熊本地震……
――今回、道路橋支承便覧では何が改訂されるのでしょうか。性能の検証、品質管理試験をどう行うのでしょうか。例えば全数検査の導入であるとか、温度・周期・面圧依存性へのNEXCO試験の導入や試験報告書の様式の統一、製造工程における各部材のチェックシートの提出などの話が聞こえてきます。また、限界状態設計法や部分係数設計法への対応、さらに鉛プラグ入り積層ゴム支承と超高減衰ゴム支承の考え方に差があると聞いています。これらについて論じていただければと思います。
高橋教授 まだ改訂版が刊行されていないので、最終状況ではありません。タイミングとして難しいですが、現時点での状況をお話します。
前提として、道路橋支承便覧が平成16年から改訂されずに現在に至っていることは異常事態だと思っています。通常ですと、道路橋示方書が改訂されたタイミングで、支承に特化した、より技術的な内容を便覧としてまとめて、示方書発刊直後、もしくは1年から2年くらい遅れて出る形が一般的ですが、これだけ改訂の間隔が空いているのは、作業を進めていなかったわけではなく、我々でコントロールできないさまざまな出来事があったからです。
道路橋示方書そのものが、平成29年の前段階のときに部分係数設計法化しようという議論が進められていて、許容応力度設計体系と部分係数設計体系の2つが用意され、議論されてきました。しかし2011年の東日本大震災で甚大な被害が発生したことにより、まずはその知見を設計にフィードバックしなければならないということもあり、本来はその時期に部分係数設計法体系に移行したかったのですが、そこで大きく設計体系を変えると、現場の混乱を招くということで許容応力度設計体系で進める話だった記憶があります。その段階で示方書が出たこともあり、支承便覧の改訂についても同じく議論が進められることになりました。そのタイミングから私が支承便覧を担当することになりました。
支承便覧は平成16年改訂もそうですが、日本道路協会橋梁委員会の維持管理小委員会(支承便覧改定分科会)が担当していました。私自身は耐震設計小委員会に所属しています。とくに阪神・淡路大震災以降、支承に対して耐震性が求められる割合が極めて大きくなってきていますが、東日本大震災では、阪神・淡路大震災以降推奨してきた免震支承をふくむ、ゴム支承の一部に、破断やクラックの発生などの被害が生じた事実がありました。当時、私自身がゴム支承の被害について比較的問題意識が高かったということもあって、当時の耐震設計編を取りまとめていた幹事の星隈(順一・現国土技術政策総合研究所 熊本地震復旧対策研究室 室長)さんから、支承便覧の改訂を耐震設計小委員会のサブワーキングで実施することになったので、WG長として関わってほしいといわれ、議論が進められてきました。
今までの道路橋支承便覧は、維持管理小委員会が担当していたこともあって、他の便覧に比べ,維持管理に関する記述が多いものでしたが、今回はより設計に特化した便覧を作ろうという議論になりました。
それというのも国交省として土木構造物の維持管理についてはマニュアル化をして対応するという動きがあったため、維持管理については、国交省が定めるマニュアルや指針に従ってやってもらうという方向で、当初はいたのです。
ハードニング特性を考慮
――具体的な内容は
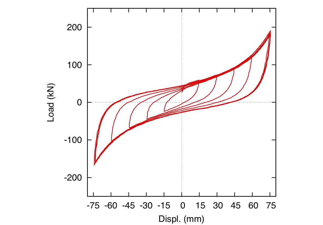
高橋 東日本大震災でゴム支承の破断を含む被害がいくつかの橋梁で見られたこともあって、実際の破断にかかわる性能試験をできるだけ追加し、ゴム支承の破断を含む限界性能のデータを充実化させて、それにもとづく支承の設計のあり方を支承便覧に書くというのが、とくに大きなテーマとなりました。各支承メーカーや国や道路会社でいろいろ行った実験を取りまとめて、それを参考資料という形の根拠をつけて、支承の限界状態を設定するという。その流れでいったん固まりました。そのときには、例えばゴム支承であると、本来は荷重と変形の関係でいうと平行四辺形のような挙動をするわけですが、実施にはある程度変形が大きくなってくると、だんだん硬くなり、荷重の増え方が大きくなってきます。ハードニング特性といいますが、HDR(高減衰ゴム支承)には既にハードニングの設計式は取り組まれていましたが、LRB(鉛プラグ入り積層ゴム支承)では考慮していなかったので、データが増加したこともあり、新しい知見を取り込んで、LRBでもハードニング現象を考慮するなど、より精緻化した設計モデルを提案するというのが支承設計における大きな改定点でした。

ハードニングを生じているゴム支承履歴(以下、注釈無きは高橋教授提供)

ハードニングを生じているゴム支承
設計の記述の方法や、せん断ひずみに依存した履歴モデルを設計モデルとして提示しているのですが、できるだけメカニズム、とくにLRBについてですが、鉛に期待する機能と周りの天然ゴム支承部分に期待する機能という位置づけを改めて見直した上で、改めてデータを整理して、設計式をつくりました。その新しい設計式を取りいれた道路橋支承便覧はほぼ最終稿ができている段階まで進んでいたのですが、建築のほうの免震ゴムの偽装問題が起きました。当然、道路系の支承についても状況を問われると考えられますが、始めにお話した通り、維持管理部分は抜いて支承便覧を出そうという方向だったのです。品質管理に対する疑念と、それをどういう形で維持管理し、性能を保証していくかが、建築のゴム支承の偽装をうけて、道路系でも同じように問われることは間違いないという見通しもあって、製造における品質管理部分はもう少しきれいにしたうえで、支承便覧を出すべきという判断になりました。それが1回目の延期前の状況です。
支承のところで上下部を事実上調整
――そこまでいっていた状況で延期は無念でしたね
高橋 橋梁系と建築系のゴム支承の大きな違いは、建築系は大臣評定を受けますが、橋梁は評定機関が無く、それに代わる品質管理や性能の担保を、道路橋支承便覧に準拠しているという点です。その意味で示方書の改定に合わせて便覧を出せずにきたのは非常に残念でした。
橋梁の支承は、事前に全体の一部として設計されています。しかし実際の下部工施工・上部工製作を行う段階で、当初の設計とは多少条件が変わり、それを最終的に支承のところで事実上調整されています。すなわち設計ではある程度決めますが、詳細は現場状況を改めて照査し、最適な支承構造に調整するという流れが一般的です。そのため、既成品を使用する建築に比べて、土木の場合は要求に応じて、全てmm単位で違う支承を製作して納入しています。橋梁全体では最も合理的な設計になりますが、支承単体では品質管理や製品のばらつきを考えると、相反するものとなります。そこを道路橋の支承として、どのように議論していくかということについて、もう一度、真剣に考えないといけません。今までは、様々な性能試験をした上で、それをスケールアップしたり、あるいはスケールダウンしたり、ある意味、既存のデータをうまく内挿、外挿する形で、製作してきたわけですが、本来は例えば温度影響や寸法の問題もそうですが、全ての組合せについて、満足できるような補正式は難しいと思います。しかし、次の便覧では、どのような考え方で製作した支承性能を担保しようとしているのか、そのような根拠データを支承メーカーに要求することにしました。
支承の性能偽装問題の後の流れとしては、品質や維持管理性を高めるという意味でやむを得ないところではありました。私自身の主張としては、できるだけ支承については信頼性が担保された標準設計品を使うことを基本として、標準設計品から外れたものは特別な対応をする必要がある場合は、別途、要求された実験をセットに、採用される支承そのものの性能を確認する、という二本立てでやるのが理想だと、思っています。
依存性についてたくさんの補正式が必要
――実現のための課題は
高橋 支承にかかわる温度・周期・面圧など、どの依存性についても、たくさんの補正式が必要になります。その組合せとなると、パターンも非常に多く、連続的に大きさが変化するものに対して提案するとなると、大きな課題となりますが、支承便覧の改定作業を通じて、どのような課題が残されているのか見えてきた状況です。
品質管理についても、チェックシートを用意してもらい、全数にどのような実験を行うのか、品質を担保するための試験と納入される支承に対する特性を検証する試験、試験頻度はどの程度の間隔にするかなどを定め、要求しています。













